关于我们
联系我们
Chiral(L)
1459206-66-6
81285542
906480-09-9
81366376
309247-50-5
81366374
2243206-99-5
81366371
237392-84-6
81366369
1774344-28-3
81366363
138250-62-1
81366358
371131-16-7
81366357
344618-30-0
81366356
289042-25-7
81316246
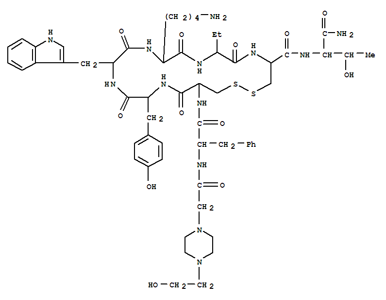
182153-96-4
549595
L-Threoninamide,N-[[4-(2-hydroxyethyl)-1-piperazinyl]acetyl]-D-phenylalanyl-L-cysteinyl-L-tyrosyl-D-tryptophyl-L-lysyl-(2S)-2-aminobutanoyl-L-cysteinyl-,cyclic (2®
147450-30-4
81366350
2026-03-05 科朗科技为全球客户提供高品质化学品, 品质可靠,价格优,交货快。如:182153-96-4
«
»